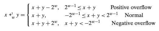
- For integer values and in the range

Visual demonstration

Examples
| Case | ||||
|---|---|---|---|---|
-8 [1000] | -5 [1011] | -13 [10011] | 3 [0011] | 1 |
-8 [1000] | -8 [1000] | -16 [10000] | 0 [0000] | 1 |
-8 [1000] | 5 [0101] | -3 [11101] | -3 [1101] | 2 |
2 [0010] | 5 [0101] | 7 [00111] | 7 [0111] | 3 |
5 [0101] | 5 [0101] | 10 [01010] | -6 [1010] | 4 |
The column “Case” corresponds to the “Case” shown in the figure above
Detecting overflow in two’s complement addition
- Assume
- Then is a positive overflow if and only if and but .
- The computation is a negative overflow if and only if and but